부산 지하철 노선도 1호선
2020. 11. 3. 01:29ㆍ생활정보
부산 지하철 노선도 1호선
부산 지하철 노선도는 1호선부터 2호선, 3호선, 4호선, 동해선, 부산김해 경전철까지 있습니다.
오늘은 부산 지하철 노선도 1호선에 대하여 알아보도록 할게요.

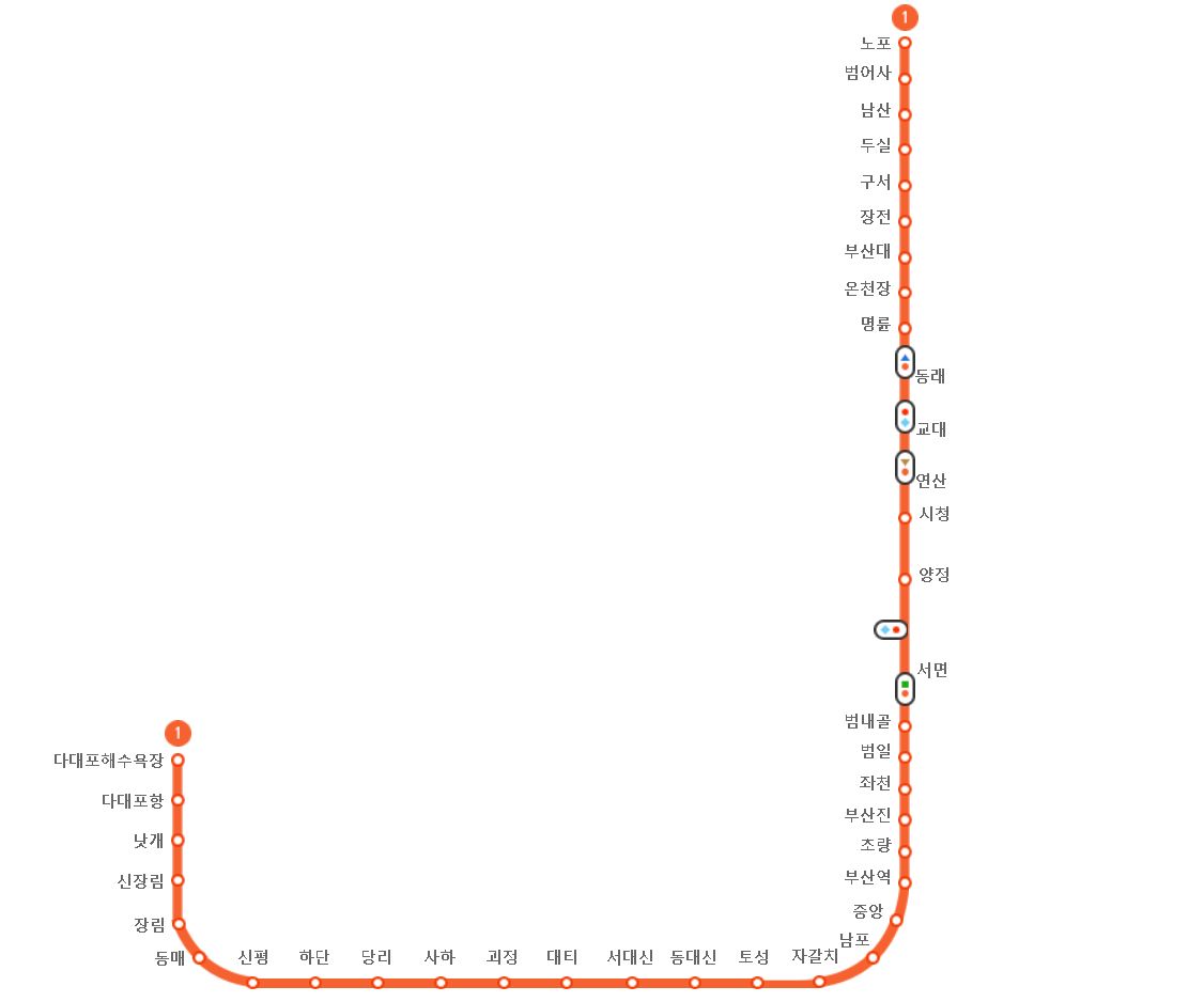
부산 지하철 노선도 1호선
노포역 - 범어사 - 남산역 - 두실역 - 구서역 - 장전역 - 부산대역 - 온천장 - 명륜역 - 동래역 - 교대역 - 연산역 - 시청역 - 양정역 - 부전역 - 서면역 - 범내골역- 범일역 - 좌천역 - 부산진역 - 초량역 - 부산역 - 중앙역 - 남포동역 - 자갈치역 - 토성역 - 동대신역 - 서대신역 - 대티역 - 괴정역 - 사하역 - 당리 - 하단역 - 신평역 - 동매역 - 장림역 - 신장림역 - 낫개역 - 다대포항역 - 다대포해수욕장역 까지 있습니다.

부산 지하철 노선도 1호선에서 환승 가능역은 동래역, 교대역, 연산역, 서면역입니다.