2020년 공무원 봉급표
2020. 1. 4. 13:28ㆍ생활정보
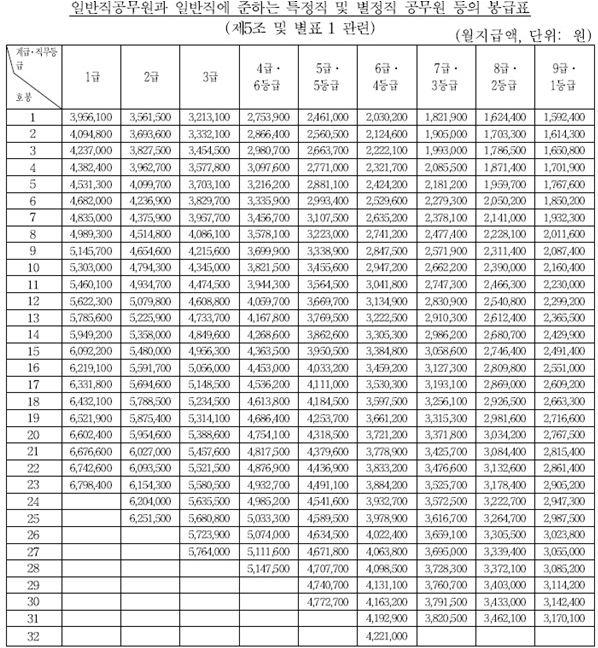
공무원 봉급표 2020
2020년 공부원 월급이 2019년 대비하여 2.8% 인상된다고 합니다.
2020년 1월1일부터 적용된 개정안의 주요 내용은 실무직 중심의 공무원 처우 개선, 격무 위험직무 종사자 및 현장 공무원 사기 진작, 일 가정 양립 지원등이 있다고 합니다.
.
공무원 봉급표는 표시 되어있는 금액은 기본급으로 공무원들은 공무원 봉급표 기본급 외에 추석, 설날 명절에 한번씩 60%, 1월과 7월에 정근수당으로 최대 50% 초과 근무 수당(야근 수당) 등 추가로 지급되는 수당이 많다고 합니다.
2020년 공무원 봉급표는 2019년 대비 2.8% 인상 되었으며, 사기 진작, 물가 상승 등을 이유로 인상 되었다고 합니다. 다만 정무직 공무원과 고위 공무원단 및 2급 이상 공무원은 2019년과 마찬가지로 인상분을 모두 반납한다고 합니다.